Affine Point Processes: Approximation and Efficient Simulation

Abstract

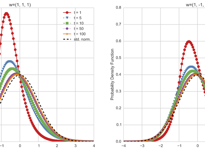
We establish a central limit theorem and a large deviations principle for affine point processes, which are stochastic models of correlated event timing widely used in finance and economics. These limit results generate closed-form approximations to the distribution of an affine point process. They also facilitate the construction of an asymptotically optimal importance sampling estimator of tail probabilities. Numerical tests illustrate our results.

Publication
Mathematics of Operations Research 40(4):797–819
affine point process affine jump-diffusion large deviations importance sampling rare event simulation
Xiaowei Zhang

My research interests include AI simulation, reinforcement learning, and stochastic optimization with applications in business operations, finance, and digital economy.